技术中心???Support
联系我们???Contact

超短脉冲测量-干涉自相关仪

2016-06-16 15:02:59??????点击:

什么是干涉测量自相关仪

       干涉自相关分析测量这一独特技术被广泛应用于锁模激光器超短脉冲的诊断。超短脉冲时间宽度一般从几fs到几个ps,脉冲可能会有相位调制,因此有些脉冲可能没有带宽限制。不同于强度自相关仪(也被广泛用于测量脉冲宽度),干涉自相关仪则会提供更多关于相位调制的信息。尽管这些信息不能处理得出完成的相位时间依赖,但是它的相位信息对于激光系统使用者可以提供非常重要的参考价值。

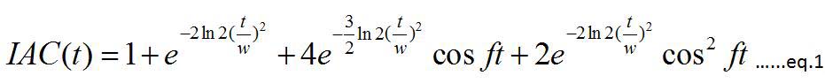
       典型情况下,干涉自相关仪将光束分为两束激光。两束光沿不同的路径,这两束路径的差异被一个自由空间电机控制。最终有相对延迟的两个脉冲被合成一束光进入非线性频率转换晶体中。这里可能是二次谐波效应SHG,双光子吸收效应,或者其他手段。因此光电探测器中的响应与两束光强振幅之和的平方成比例关系。用X轴表示时间延迟,Y轴表示振幅。对一个有高斯型带宽限制的脉冲而言,其干涉自相关可做分析如下:


其中t是两束光的时间延迟,w是脉冲的带宽的平方根(强度半高全宽)。f是光学载波的频率。

干涉自相关仪的特点

       方程1的具体意义:第一项是常数偏移;第二是表示强度自相关;第三第四项代表干涉并同时包含强度自相关包络。干涉自相关仪最大可测振幅是8,最小则接近于0。时间延迟外面的部分重叠干涉自相关仪加入常数项1.左下图是没有相位调制的800nm50fs高斯型脉冲干涉自相关测试,右侧是相应的强度自相关测试。

       注意两个脉冲测试结果的半高全宽是不同的。如果我们想从强度自相关测试图中估算出脉冲宽度,则需要在其半高全宽的基础上除以1.4142,得出的脉宽结果为50.01fs,几乎完美接近光源的脉冲宽度。如果从干涉自相关测试图中估算脉冲宽度,则需要在其半高全宽基础上除以1.5331,得到48.82的脉冲宽度。(注意干涉自相关测试低估了脉冲宽度,因为需要计算干涉自相关的包络,而举例中的脉冲宽度是根据干涉自相关条纹谱得出的)

       现在我们讨论一下在相位调制情况下的脉冲。如上所述相干自相关测试对相位调制很敏感。它的形貌会随着不同形式的调制而改变。左下图是一个800nm50fs脉宽的干涉测试信号。注意强度自相关基本是和相位调制无关的,而干涉自相关测试情况则会随着相位调制发生明显的变化。

总结

从这些例子中可以明显看出,干涉自相关不适合作为源数据用来估算测量信号的脉冲宽度。

二阶啁啾

       要从干涉自相关测试中预估脉冲宽度,我们需要移除公式1中的134项。可以通过平均干涉自相关测试数据,利用傅里叶算法达到这个目的。而利用这种从干涉自相关测试提取强度自相关的方法,我们可以测量经过各种相位调制过的脉冲宽度。




更多自相关仪产品

>> 扫描自相关仪

>> 扫描自相关仪-多光子成像

>> 远红外扫描自相关仪

>> 单次自相关仪

>> 三阶自相关仪

>> 超短脉冲测量仪Frog


资料下载:

01_autocorrelators自相关仪AA-20DD

02_Single-Shot单次自相关仪ASF

03_Cross-correlator_COMET三阶自相关仪

04_IRA-0.45-3宽带皮秒飞秒自相关仪

05_IRA-3-10远红外自相关仪

06_显微自相关仪AA-M



上海伟德国际唯一官网入口光电技术有限公司
地址:上海市闵行区元江路3599号福克斯创新园3号楼302
电话:021-62209657   021-54843093     传真:021-54843093
邮箱:sales@eachwave.com                   网站:www.eachwave.com